?????? ??????????Ч?????
??????????OGRE???????????????????????????????????????????????????????е?????к???????????????????????????????????????????????????????????????????????????????????У?????????????????????????????????????????????????????????????????????????????????????Ч??????????????????????????????????????????????????????????????????????????????????????????????????????????????????????????????
????????????
????1.??????
???????????????????????????????????????????????????????????????????????????3D ????????????????????????????????????????3DMAX ???????????????????DOM (Document Object Model) ?????н?????????????????????????????????????OGRE???????????
???????????????????????????????з??????????Ч?????????????????UI ??????и???????????????????????????????????????????????????????????????????????Ч???????????????????????????????????????(???1???)?????????????????????
???1????????
????2.???????3DMAX + Ofusion????????????????????????????壬????????????????????
????3.??????????Щ?????????????С?
????4.?????????????????????????????????????????????????????
????????????????????о?
????1. ????????????γ?
???????????????????3DMAX???Ofusion??????????????????????????XML?????????????????Щ??????????????????????λ??????????????????????????????????????????????????????????????????????????????????????????????????????????????
????
???2??OGRE?г????????
????2. ???????任
???????????????????????????????????????д?????????????????????????????????????????????????????????????б????????????????x???????????z?????????????y????????????????45???????????????????????x???z?????????????????????y ?????????????????????
??
?????1
????????У???x????y????z??x??y??z???????????????????????任????????з??????
????
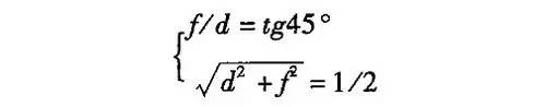
?????2
????????f??d?????任??????????????????????????
??????
?????3
????????????и??????d=f= -0.354??????????????任????
??
?????4
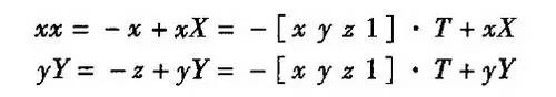
???????????????????ε???????????????????豸?????????????У????????λ??????????????????????x????????????μ?????y?????????
?????????????????е????(x ??y ??z) ?????豸?????е???????(xx??yy) ???????????????任??????????????????????
????
?????5
?? ?????????xX??yY?????????????????豸??????е????????
?????????(4)????(5)??????ó??任?????
??
?????6
?? ????3. ??????Ч?????
????????????????????????????г??????????????????????????????????????????????????????????????????(Particle Emitter) ????????Ч?????(Particle Affector) ???????????????????????????????????????????????Щ?????????????????????????????;??????Ч??????????????????????????????????????????????????????????????????????????Ч?????????????????????緢???????????????????γ???????????Ч????
????OGRE?????????????????????????????????????????????
?????????У??????????????????????????????????Ч???????OGRE ?????Ч?????????????????????????Ч????
????4. ????Ч?????
?????????????Ч?????????????????????????????????????????????????????????????????????????????????????????Ч???????Щ?????????????Щ???????????Ч???????????????????????????????????(shader) ??????shader?????????????????????vertex shader(OpenGL???ve?°?program) ????????????????е?任????????????????????????????任????????????д??????shader??????vertex shader processors (????????)??????????????????pixel shader( OpenGL ???fragment program) ????????????????е?????????????????????????????????????????????????д???????shader ??????pixel shader processors (?????????)??
??????????????????????У??????????3D????????????????????????????????????????????????????????Ч?????????????????????????????????:????????????????????????????????????????????????????????????????е??????????????????????????????????????????????????????????????????????????Ч??????????????????????????????????????????????????????
???????????????????????????????????????????????????Ч???????????????????
??
?????7
?? ???????????????????????????????????????????
?????8
?? ????????Ld??????????T?????????????TLi?????????????????????L??????????????????
??????????????
???????????????????л???????и??????Ч???????????????????????????????????????4???????Ч??????5??????Ч?????
??????????Ч??
?? ??
?????????Ч??
????С??
?????????????????????????????????????????????????????????????????????????????????????????????????????????????????????????????????????0-GRE??????潨?????????????????????????????????????????????????????????????????????????????????????????????????????????????????????????????????????????????:?????????????????????????????????????????????????????????????
???????









